颠覆认知!魔都上海竟是“种田天花板”,靠科技把耕地种出黄金价
提起上海,没人会第一时间想到农业,陆家嘴的摩天楼、南京路的繁华,才是它的标签。
可很少有人知道,这座被金融、互联网包裹的超大城市,竟是中国最会种地的城市。
上海的农业成绩单,足以碾压众多农业大省,说它是“隐藏种田高手”毫不夸张。
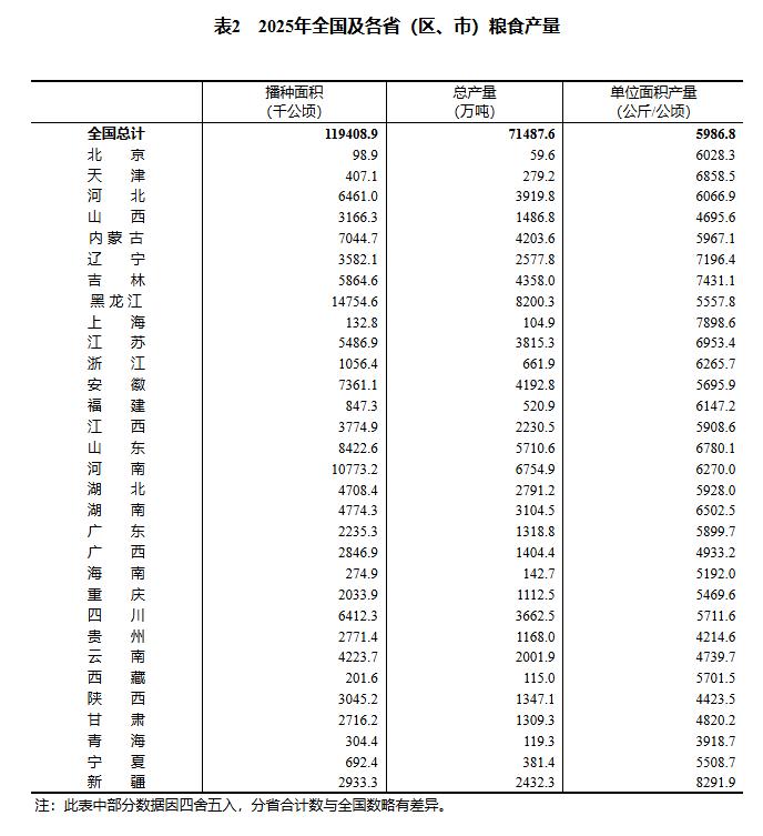
2025年粮食亩产526公斤,远超河南、山东,仅次于新疆,单产实力稳居全国前列。
更惊艳的是总产量,2025年上海产粮105万吨,比北京、广州、深圳三地产量总和还多。
要知道上海耕地仅251.4万亩,在寸土寸金的城市里,能种出这样的成绩,全靠科技赋能。
别人种地靠天吃饭,上海种地靠“黑科技”,把“小耕地”种出了“大效益”。
嘉定外岗镇的无人农场,耕种管收全程自动化,北斗拖拉机、无人机成了“新农人”。
这里没有面朝黄土背朝天的辛苦,只有指尖操控的便捷,水稻机械化率高达99%以上。
上海还制定了全国首个无人农场地方标准,把智慧农业做成了可复制的范本。
除了效率拉满,上海更攥紧了农业的“芯片”,在种业领域打破国外垄断。
张江科学城,这个以芯片、生物医药闻名的地方,正全力打造“张江种谷”,破解育种难题。
从节水抗旱稻到“沪绿70”西蓝花,从“江海21”大闸蟹到“华系种猪”,上海培育的品种享誉全国。
这些带着上海基因的“明星种子”,不仅扎根国内,还走出国门,走向“一带一路”沿线国家。
上海农业的厉害,不止在于高产,更在于把每一寸耕地都种出了品牌溢价。
崇明大米、南汇8424西瓜、马陆葡萄,每一个都是绿色有机标杆,江浙沪人民争相追捧。
面对耕地少、碎片化的难题,上海没有退缩,反而走出了一条特色都市农业之路。
“小田变大田”整治新增耕地相当于3个澳门,“飞地农场”跨区域保障城市供应。
更难得的是,上海农业科技进步贡献率达80%以上,接近世界发达国家水平。
它用实践证明,城市与农业从不是对立关系,科技能让两者完美共生。
很多人疑惑,上海GDP中农业占比不足1%,为何要花大力气发展农业?
答案很简单,农业是城市的底气,守住科技农业,就是守住国人的饭碗。
上海的农业,没有大规模的耕地,却有顶尖的技术;没有数量上的优势,却有质量上的碾压。
它不仅守护着自身的粮食安全,更为全国超大城市发展现代农业,提供了可借鉴的中国样本。


